SOLUTION: Use the method of completing the square to find the standard form of the quadratic function. f(x) = −2x^2 − 4x + 7 y= x= (x,y)=( )

Algebra ->  Functions -> SOLUTION: Use the method of completing the square to find the standard form of the quadratic function. f(x) = −2x^2 − 4x + 7 y= x= (x,y)=( )       Log On


   



Question 1003351: Use the method of completing the square to find the standard form of the quadratic function.
f(x) = −2x^2 − 4x + 7
y=
x=
(x,y)=( )


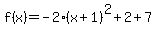
Answer by MathLover1(20850) About Me  (Show Source):