SOLUTION: How much should parents invest on each of their child's first 18 birthdays to provide $25,000 per year for the next 4 years if the investment pays 4% interest? (See Example 8.) (Ro

Algebra ->  Finite-and-infinite-sets -> SOLUTION: How much should parents invest on each of their child's first 18 birthdays to provide $25,000 per year for the next 4 years if the investment pays 4% interest? (See Example 8.) (Ro      Log On


   



Question 1131691: How much should parents invest on each of their child's first 18 birthdays to provide $25,000 per year for the next 4 years if the investment pays 4% interest? (See Example 8.) (Round your final answer to two decimal places.)
Found 3 solutions by josmiceli, MathTherapy, greenestamps:
Answer by josmiceli(19441) About Me  (Show Source):
You can put this solution on YOUR website!
+4%2A25000+=+I+%2B+P+
+100000+=+P%2Ar%2At+%2B+P+
+100000+=+P%2A%28+1+%2B+r%2At+%29+
+100000+=+P%2A%28+1+%2B+.04%2A18+%29+
+P+=+100000+%2F+1.72+
+P+=+58139.53+
+P%2F18+=+3229.97+
They should invest $3,229.97 on each
of the first 18 birthdays
check the math

Answer by MathTherapy(10559) About Me  (Show Source):
You can put this solution on YOUR website!
How much should parents invest on each of their child's first 18 birthdays to provide $25,000 per year for the next 4 years if the investment pays 4% interest? (See Example 8.) (Round your final answer to two decimal places.)
Correct answer: If it's ANNUAL COMPOUNDING both ways, then they'll need to invest highlight_green%28matrix%281%2C3%2C+%22%243%2C538.54%22%2C+per%2C+year%29%29 


Answer by greenestamps(13219) About Me  (Show Source):
You can put this solution on YOUR website!


Realistically, the investment continues accruing interest after the child starts taking out $25,000 per year. Furthermore, the problem seems to be about saving for college expenses; when the child starts taking money out of the investment, it is realistic that he takes the $25000 per year out at the beginning of each year of college.

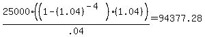
So we first need to calculate how much money needs to be in the investment in order to be able to make withdrawals of $25,000 at the beginning of each year for 4 years, if interest is 4% compounded annually.

25000%28%281-%281.04%29%5E%28-4%29%29%281.04%29%29%2F.04+=+94377.28

And now we need to calculate how much the parents should invest at the end of each year for 18 years to accumulate that amount, if again interest is 4% compounded annually.

94377.28+=+x%28%281.04%5E18-1%29%29%2F.04%29
x+=+3680.08

Answer: The parents need to make contributions of $3680.08 on their child's first 18 birthdays to provide $25,000 at the beginning of each of the child's next 4 years, presumably at college.