SOLUTION: 37.The value of limit: lim(x->4)(x^2-7x+12)/(x-4) is: a.0 b.1 c.2 d.∞ (infinity)
Algebra
->
Finite-and-infinite-sets
-> SOLUTION: 37.The value of limit: lim(x->4)(x^2-7x+12)/(x-4) is: a.0 b.1 c.2 d.∞ (infinity)
Log On
Logic: Finite and infinite sets
Logic
Solvers
Solvers
Lessons
Lessons
Answers archive
Answers
Click here to see ALL problems on Finite-and-infinite-sets
Question 1049328
:
37.The value of limit: lim(x->4)(x^2-7x+12)/(x-4) is:
a.0
b.1
c.2
d.∞ (infinity)
Answer by
josgarithmetic(39618)
(
Show Source
):
You can
put this solution on YOUR website!
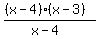
The function would be approximately the line y=x-3, BUT a point is MISSING for x=4. Now, you can find the value of y=x-3 for x=4.
Understand, x=4 is undefined for f(x) but is acceptable for y=x-3.
Limit as x approaches 4, of
is 1.