This Lesson (Fixed Rate Mortgage Payment) was created by by PrateekJain(0)  : View Source, ShowAbout PrateekJain:
Fixed Rate Mortgage Payment Calculation
In FRMs, the interest rate over the entire term of the <mortgage is fixed, and repayments are made in equal installments in every period (usually monthly).
The fixed monthly payment can be calculated as follows:
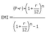
Let:
P = principal amount borrowed
r = annual interest rate, compounded monthly
N = term of the loan in years
n = number of monthly payments = N*12
EMI = fixed monthly payment
Then:

For example, consider Principal = $100000, interest rate = 7%, and time period = 30 years = 360 months. The formula would then be

This would give the value of EMI as $665.3.
Also see: Corporate Finance: Calculate Equal Monthly Installments (EMI)
This lesson has been accessed 16887 times.
|