This Lesson (PRESENT VALUE OF A PAYMENT) was created by by Theo(13342)  : View Source, ShowAbout Theo:
See BASIC FORMULAS AND ASSUMPTIONS USED IN FINANCIAL FORMULAS for an explanation of interest rates, compound interest versus simple interest, number of time periods, definition of time periods and time points, and any other topic basic to the understanding of these financial formulas and how to use them.
PRESENT VALUE OF A PAYMENT
PV = present value
PMT = payment per time period
i = interest rate per time period
n = number of time periods
This formula deals with calculating the Present Value of a series of payments.
Unless otherwise specified, payments are assumed to be at the end of the time period specified.
If the series of payments are specified as being made at the beginning of the time period, then a special adjustment to this formula is used that will be shown at the end of this presentation.
EXAMPLE 1
You have taken out a personal loan that requires you to make $1,200 in payments each year for a period of 5 years, at an interest rate of 20% per year.
How much was the loan?
n = number of time periods = 5 (no adjustment is necessary since the number of time periods and the number of years is the same)
i = 20% / 100% = .2 per year (interest percent per year is divided by 100% to get the interest rate per year. Since time periods and years are the same, no further adjustment is necessary).
PMT = $1,200 per year (Since the payment is already by year, take as given except you need to remove the $ sign and commas when entering into the formula)
Formula becomes:
= 3588.7345687 = $3,588.00
This represents the amount of money you can borrow, assuming payments of $1200 per year at an interest rate of 20% per year for a period of 5 years.
EXAMPLE 2:
You have taken out a personal loan that requires you to make $100.00 in payments each month for a period of 5 years, at an interest rate of 20% per year.
How much was the loan?
n = number of time periods = 5 * 12 = 60 (number of years must be multiplied by 12 to get number of monthly time periods)
i = 20% / 100% / 12 = .0166666666666 per month (interest percent per year is divided by 100% to get interest rate per year which is then divided by 12 to get interest rate per month).
PMT = $100 per month (since the payment is specified as per month already, take as given except you need to remove the $ sign and commas when entering into the formula)
Formula becomes:
= 3774.456126 = $3,774.46
This represents the amount of money you can borrow, assuming payments of $100 per month at an interest rate of 20% per year compounded monthly for a period of 5 years.
BEGINNING OF TIME PERIOD PAYMENT VERSUS END OF TIME PERIOD PAYMENT
The basic assumption is that payments are made at the end of the time period.
If you are given that the payments are being made at the beginning of the time period, then the present value of a payment formula needs to be adjusted as follows:
PRESENT VALUE OF A PAYMENT WHEN THE PAYMENT IS MADE AT THE END OF EACH TIME PERIOD.
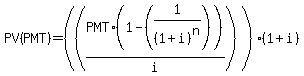
PRESENT VALUE OF A PAYMENT WHEN THE PAYMENT IS MADE AT THE BEGINNING OF EACH TIME PERIOD.
As you can see, the present value of the end of time period payments formula is multiplied by (1+i) to get the present value of the beginning of time period payments.
An example of what happens is shown below:
Present value of $1200.00 payments per time period at 20% interest per time period for 2 time periods assuming end of time period payments:
start of time period 1 principal = 0000.00 + payment 0000.00 = remaining balance 0000.00
end of time period 1 principal = 0000.00 * 1.2 = 0000.00 + payment 1200.00 = remaining balance 1200.00
end of time period 2 principal = 1200.00 * 1.2 = 1440.00 + payment 1200.00 = remaining balance 2640.00
Future Value of the payments is $2,640.00
Bring that back to the present and you get the present value of the series of payments at the beginning of the loan.
= = 1833.333333333 = $1,833.33
Present Value of payments made at the end of each time period is $1,833.33
Present value of $1200.00 payments per time period at 20% interest per time period for 2 time periods assuming beginning of period payments:
start of time period 1 principal = 0000.00 + payment 1200.00 = remaining balance 1200.00
end of time period 1 principal = 1200.00 * 1.2 = 1440.00 + payment 1200.00 = remaining balance 2640.00
end of time period 2 principal = 2640.00 * 1.2 = 3168.00 + payment 0000.00 = remaining balance 3168.00
Future Value of payments is $3,168.00
Bring that back to the present and you get the present value of the series of payments at the beginning of the loan.
= = 2200 = $2,200.00
Present value of payments made at the beginning of each time period is $2,200.00
Present Value of Payments made at the end of each time period = $1,833.33
Present Value of Payments made at the beginning of each time period = $2,200.00
Interest rate is 20% per year.
1833.33333333 * 1.2 = 2200 = $2,200.00
This shows that the present value of payments made at the beginning of each time period is the same as the present value of payments made at the end of each time period multiplied by (1 + the interest rate) per time period.
This lesson has been accessed 21812 times.
|