SOLUTION: 100 rational numbers can be inserted between 2 and 7.Give your views on this statement.

Algebra ->  Finance -> SOLUTION: 100 rational numbers can be inserted between 2 and 7.Give your views on this statement.      Log On


   



Question 940245: 100 rational numbers can be inserted between 2 and 7.Give your views on this statement.
Found 2 solutions by MathLover1, richard1234:
Answer by MathLover1(20850) About Me  (Show Source):
You can put this solution on YOUR website!

My view is that between any two rational numbers, there are
an infinite number of other rational numbers.
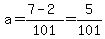
a=+%287-2%29%2F101+=+5%2F101
x%5B1%5D=2%2Ba=2+%2B5%2F101
x%5B2%5D=2%2B2a=2%2B2%285%2F101%29=2%2810%2F101%29
x%5B3%5D=+2%2B3a=2%2815%2F101%29
:
:
:
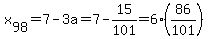
x%5B98%5D=7-3a=7-15%2F101=6%2886%2F101%29
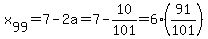
x%5B99%5D=7-2a=7-10%2F101=6%2891%2F101%29
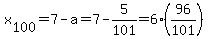
x%5B100%5D=7-a=7-5%2F101=6%2896%2F101%29+


Answer by richard1234(7193) About Me  (Show Source):
You can put this solution on YOUR website!
There are countably infinitely many rational numbers in between any two different real numbers.