SOLUTION: X^2(2x^2+1)^2/(x-1)*(4x^3-6x^2+x-2)/x(x-1)(2x^2+1)Can anyone please show me how simply this fraction.

Algebra ->  Finance -> SOLUTION: X^2(2x^2+1)^2/(x-1)*(4x^3-6x^2+x-2)/x(x-1)(2x^2+1)Can anyone please show me how simply this fraction.      Log On


   



Question 938981: X^2(2x^2+1)^2/(x-1)*(4x^3-6x^2+x-2)/x(x-1)(2x^2+1)Can anyone please show me how simply this fraction.
Answer by josgarithmetic(39625) About Me  (Show Source):
You can put this solution on YOUR website!
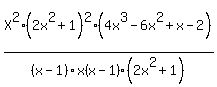
The expression can too easily be misunderstood. If what you wrote is rendered to appear more normal in notation, this is it:



Is that what you have?

"Yes"....
The rendered expression has a couple of obvious factors of 1. You could eliminate x%2Fx and %282x%5E2%2B1%29%2F%282x%5E2%2B1%29. You still want to try to factorize the cubic expression factor found in the numerator.

If you know polynomial division, you should divide 4x^3-6x^2+x-2 by x-1. If remainder is 0, then you have just found two factors of 4x^3-6x^2+x-2.
....In fact, remainder is -3. This means that no other possible factors to check for it in the denominator.

You have then once simplifications done,
x%282x%5E2%2B1%29%284x%5E3-6x%5E2%2Bx-2%29%2F%28x-1%29%5E2
The last thing to do is multiply the polynomials of the numerator, and multiply (square) the binomials of the denominator.