SOLUTION: Classify the given function as a polynomial function, rational function, or root function, and then find the domain. Write the domain in interval notation h(t)=4+5t/3t^2

Algebra ->  Finance -> SOLUTION: Classify the given function as a polynomial function, rational function, or root function, and then find the domain. Write the domain in interval notation h(t)=4+5t/3t^2       Log On


   



Question 913382: Classify the given function as a polynomial function, rational function, or root function, and then find the domain. Write the domain in interval notation
h(t)=4+5t/3t^2

Answer by josgarithmetic(39620) About Me  (Show Source):
You can put this solution on YOUR website!
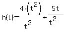
Maybe not as easy to see; but a bit of calculation could make h(t) clearer. Simplest common denominator is t%5E2.

h%28t%29=4%28t%5E2%29%2F%28t%5E2%29%2B5t%2F%28t%5E2%29
%284t%5E2%2B5t%29%2F%28t%5E2%29

Decide logically what type of function is h(t).