SOLUTION: Expand (x - 1/x)^2 and find the value of x+1/x if (x-1/x)^2 = 5

Algebra ->  Finance -> SOLUTION: Expand (x - 1/x)^2 and find the value of x+1/x if (x-1/x)^2 = 5      Log On


   



Question 889705: Expand (x - 1/x)^2 and find the value of x+1/x if (x-1/x)^2 = 5
Answer by Fombitz(32388) About Me  (Show Source):
You can put this solution on YOUR website!
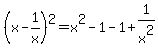
%28x+-+1%2Fx%29%5E2=x%5E2-1-1%2B1%2Fx%5E2
%28x+-+1%2Fx%29%5E2=x%5E2%2B1%2Fx%5E2-2
Similarly,
%28x+%2B+1%2Fx%29%5E2=x%5E2%2B1%2Fx%5E2%2B2
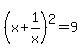
So,
%28x+%2B+1%2Fx%29%5E2=%28x+-+1%2Fx%29%5E2%2B4
%28x+%2B+1%2Fx%29%5E2=5%2B4
%28x+%2B+1%2Fx%29%5E2=9
x+%2B+1%2Fx=0+%2B-+3