SOLUTION: Integrate with respect to x the following expression: 2/(2x-7)(2x-7)(2x-7)

Algebra ->  Finance -> SOLUTION: Integrate with respect to x the following expression: 2/(2x-7)(2x-7)(2x-7)      Log On


   



Question 853372: Integrate with respect to x the following expression:
2/(2x-7)(2x-7)(2x-7)

Answer by Fombitz(32388) About Me  (Show Source):
You can put this solution on YOUR website!
int%28%282x-7%29%5E3%2Cdx%29
Use a substitution,
u=2x-7
du=2dx
dx=%281%2F2%29du
int%28%282x-7%29%5E3%2Cdx%29=int%28%281%2F2%29u%5E3%2Cdu%29
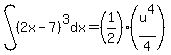
int%28%282x-7%29%5E3%2Cdx%29=%281%2F2%29%2Aint%28u%5E3%2Cdu%29
int%28%282x-7%29%5E3%2Cdx%29=%281%2F2%29%2A%28u%5E4%2F4%29
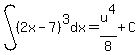
int%28%282x-7%29%5E3%2Cdx%29=u%5E4%2F8%2BC
int%28%282x-7%29%5E3%2Cdx%29=%281%2F8%29%2A%282x-7%29%5E4%2BC%29