SOLUTION: 4(x^-4)^3(-2x)^4=thank u so much for any help u can provide me with
Algebra
->
Finance
-> SOLUTION: 4(x^-4)^3(-2x)^4=thank u so much for any help u can provide me with
Log On
Algebra in Finance
Algebra
Solvers
Solvers
Lessons
Lessons
Answers archive
Answers
Click here to see ALL problems on Finance
Question 352549
:
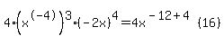
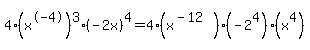
4(x^-4)^3(-2x)^4=thank u so much for any help u can provide me with
Answer by
Fombitz(32388)
(
Show Source
):
You can
put this solution on YOUR website!