SOLUTION: [p+q][square]=10 p[square]+q[square]=50 Find p and q . PLS HELP T.T Thankx

Algebra ->  Finance -> SOLUTION: [p+q][square]=10 p[square]+q[square]=50 Find p and q . PLS HELP T.T Thankx      Log On


   



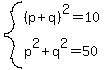
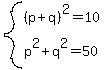
Question 151895: [p+q][square]=10
p[square]+q[square]=50
Find p and q .
PLS HELP T.T
Thankx

Answer by Edwin McCravy(20066) About Me  (Show Source):
You can put this solution on YOUR website!
system%28%28p%2Bq%29%5E2=10%2C+p%5E2%2Bq%5E2=50%29
Find p and q .
PLS HELP T.T
Thankx

system%28%28p%2Bq%29%5E2=10%2Cp%5E2%2Bq%5E2=50%29

Rewrite the left side of the first equation as %28p%2Bq%29%28p%2Bq%29:

%28p%2Bq%29%28p%2Bq%29=10

Use FOIL:

p%5E2%2Bpq%2Bpq%2Bq%5E2=10

Combine middle terms, which are like terms:

p%5E2%2B2pq%2Bq%5E2=10

So now the system is:

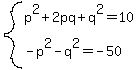
system%28p%5E2%2B2pq%2Bq%5E2=10%2C+p%5E2%2Bq%5E2=50%29 

Multiply the second equation through by -1

system%28p%5E2%2B2pq%2Bq%5E2=10%2C-p%5E2-q%5E2=-50%29

Add the left and right sides of the system:

2pq=-40

Solve for q by dividing both sides by 2p:

2pq%2F%282p%29=-40%2F%282p%29

Simplifying:

q=-20%2Fp

Substituting -20%2Fp for q in

p%5E2%2Bq%5E2=50

p%5E2%2B%28-20%2Fp%29%5E2=50

p%5E2+%2B+%28-20%29%5E2%2Fp%5E2+=+50

p%5E2+%2B+400%2Fp%5E2+=+50

Multiply through every term by LCD=p%5E2

p%5E4+%2B+400+=+50p%5E2

Get 0 on the right by adding -50p%5E2
to both sides:

p%5E4-50p%5E2%2B400=0

The left side factors as

%28p%5E2-10%29%28p%5E2-40%29=0

Setting each factor = 0:

P%5E2-10=0
p%5E2=10
psqrt%2810%29

P%5E2-40=0
p%5E2=40
psqrt%2840%29
psqrt%284%2A10%29
psqrt%284%29sqrt%2810%29
p2sqrt%2810%29

So the four values for p are

p=sqrt%2810%29, p=-sqrt%2810%29, p=2sqrt%2810%29, p=-2sqrt%2810%29

We must now find a value of q to go with
each of these.  So we use

q=-20%2Fp

Substituting p=sqrt%2810%29 

q=-20%2Fsqrt%2810%29

Rationalize the denominator by multiplying top and
bottom by sqrt%2810%29

q=-20sqrt%2810%29%2Fsqrt%2810%29sqrt%2810%29

q=-20sqrt%2810%29%2F10

q=-2sqrt%2810%29

So one solution is (p,q) = (sqrt%2810%29,-2sqrt%2810%29)

--------------------------

Substituting p=-sqrt%2810%29 

q=-20%2F%28-sqrt%2810%29%29

Rationalize the denominator by multiplying top and
bottom by sqrt%2810%29

q=-20sqrt%2810%29%2F%28-sqrt%2810%29sqrt%2810%29%29

q=-20sqrt%2810%29%2F%28-10%29

q=2sqrt%2810%29

So a second solution is (p,q) = (-sqrt%2810%29,2sqrt%2810%29)

-------------------------

Substituting p=2sqrt%2810%29 

q=-20%2F%282sqrt%2810%29%29

q=-10%2Fsqrt%2810%29

Rationalize the denominator by multiplying top and
bottom by sqrt%2810%29

q=-10sqrt%2810%29%2F%28sqrt%2810%29sqrt%2810%29%29

q=-10sqrt%2810%29%2F10

q=-sqrt%2810%29

So a third solution is (p,q) = (2sqrt%2810%29,-sqrt%2810%29)

--------------------

Substituting p=-2sqrt%2810%29 

q=-20%2F%28-2sqrt%2810%29%29

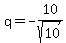
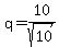
q=10%2Fsqrt%2810%29

Rationalize the denominator by multiplying top and
bottom by sqrt%2810%29

q=10sqrt%2810%29%2F%28sqrt%2810%29sqrt%2810%29%29

q=10sqrt%2810%29%2F10

q=sqrt%2810%29

So the fourth solution is (p,q) = (-2sqrt%2810%29,sqrt%2810%29)

Edwin