SOLUTION: Suppose you invest $130 at the end of each month for 4 years into an account earning 7% annual interest compounded monthly. After 4 years, you leave the money, without making addit

Algebra ->  Finance -> SOLUTION: Suppose you invest $130 at the end of each month for 4 years into an account earning 7% annual interest compounded monthly. After 4 years, you leave the money, without making addit      Log On


   



Question 1202515: Suppose you invest $130 at the end of each month for 4 years into an account earning 7% annual interest compounded monthly. After 4 years, you leave the money, without making additional deposits, in the account for another 24 years. How much will you have in the end?
Answer by math_tutor2020(3817) About Me  (Show Source):
You can put this solution on YOUR website!

Let's see how much money would be in the account after the 4 year period.

FV = unknown future value
P = monthly payment = 130
r = annual interest rate in decimal form
r = 0.07
i = monthly interest rate in decimal form
i = r/12 = 0.07/12 = 0.0058333333 approximately
n = number of months = 4*12 = 48

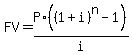
Future value of annuity formula
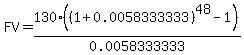
FV+=+P%2A%28+%281%2Bi%29%5En+-+1+%29%2Fi

FV+=+130%2A%28+%281%2B0.0058333333%29%5E48+-+1+%29%2F0.0058333333

FV+=+7177.2007013047

FV+=+7177.20
You will have $7177.20 in the account after 4 years.

-----------------------------------------

That amount is then the starting point and deposit amount for the compound interest formula.
This is when the money will sit for another 24 years without further deposits.
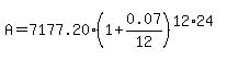
A+=+P%2A%281%2Br%2Fn%29%5E%28nt%29
P = 7177.20 = deposit amount
r = 0.07
n = compounding frequency this time (not number of months)
n = 12 since we're compounding monthly
t = 24 years

A+=+P%2A%281%2Br%2Fn%29%5E%28nt%29

A+=+7177.20%2A%281%2B0.07%2F12%29%5E%2812%2A24%29

A+=+38322.1595587136

A+=+38322.16

Answer: $38,322.16