SOLUTION: Write an equation for a rational function with: Vertical asymptotes at x = -1 and x = 3 x-intercepts at x = -5 and x = -4 y-intercept at 7 y =

Algebra ->  Finance -> SOLUTION: Write an equation for a rational function with: Vertical asymptotes at x = -1 and x = 3 x-intercepts at x = -5 and x = -4 y-intercept at 7 y =      Log On


   



Question 1188026: Write an equation for a rational function with:
Vertical asymptotes at x = -1 and x = 3
x-intercepts at x = -5 and x = -4
y-intercept at 7
y =

Found 2 solutions by greenestamps, Solver92311:
Answer by greenestamps(13200) About Me  (Show Source):
You can put this solution on YOUR website!


Write an equation for a rational function with:

(1) Vertical asymptotes at x = -1 and x = 3: factors of (x+1) and (x-3) in the denominator

(2) x-intercepts at x = -5 and x = -4: factors of (x+5) and (x+4) in the numerator

(3) y-intercept at 7: f(0)=7

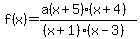
The function is of the form

f%28x%29=%28a%28x%2B5%29%28x%2B4%29%29%2F%28%28x%2B1%29%28x-3%29%29

Finish finding the function by knowing f(0)=7:

%28a%285%29%284%29%29%2F%28%281%29%28-3%29%29=7
20a%2F-3=7
20a=-21
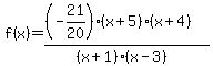
a=-21%2F20

The function is

f%28x%29=%28%28-21%2F20%29%28x%2B5%29%28x%2B4%29%29%2F%28%28x%2B1%29%28x-3%29%29


Answer by Solver92311(821) About Me  (Show Source):
You can put this solution on YOUR website!


If a rational function has a vertical asymptote at , then the denominator of the function has a factor of . The desired function then must have factors of and in the denominator.

If a rational function has a zero at , then the numerator of the function has a factor of . The desired function must have factors of and in the numerator.

If a rational function has a -intercept of , then the function must have a scaling factor such that



Substitute zero for and set the result equal to 7. Then solve for to find your final function.

John

My calculator said it, I believe it, that settles it

From
I > Ø