SOLUTION: Bob invests 5000 euros in a fixed deposit that pays a nominal annual interest rate of 4.5% compounded monthly, for seven years. Carla has 7000 dollars to invest in a fixed depo

Algebra ->  Finance -> SOLUTION: Bob invests 5000 euros in a fixed deposit that pays a nominal annual interest rate of 4.5% compounded monthly, for seven years. Carla has 7000 dollars to invest in a fixed depo      Log On


   



Question 1185341: Bob invests 5000 euros in a fixed deposit that pays a nominal annual interest rate of 4.5% compounded monthly, for seven years.
Carla has 7000 dollars to invest in a fixed deposit which is compounded annually. She aims to double her money after 10 years. Find the minimum annual interest rate needed for Carla to achieve her aim.

Found 3 solutions by Theo, MathTherapy, ikleyn:
Answer by Theo(13342) About Me  (Show Source):
You can put this solution on YOUR website!
i'm not actually sure what bob has to do with this.

i'll handle carla first and then go back to bob if i can figure out what you're asking for there.

for carla, the formula to use is f = p * (1 + r) ^ n

f is the future value
p is the present value
r is the interest rate per time period.
n is the number of time periods.

in your problem.

pv = 7000
fv = 14000
n = 10 years

formula becomes 14000 = 7000 * (1 + r) ^ 10

divide both sides of this equation by 7000 to get:

2 = (1 + r) ^ 10

take the 10th root of each side of the eqution to gt:

2 ^ (1/10) = 1 + r

subtract 1 from both sides of the equation to get:

2 ^ (1/10) - 1 = r

solve for r to get:

r = 2 ^ (1/10) - 1 = .0717734625 = 7.17734625%.

that's the annual interest rate required to double her money in 10 years.

confirm by replacing r in the original equation and solving for f.

the equation becomes f = 7000 * (1 + .0717734625) ^ 10.

solve for f to get:

f = 14000.

the solution is that here interest rate per year, compounded annually, need to be at least .0717734625 for her to at least double her money in 10 years.

back to bob.

the problem statement is:

Bob invests 5000 euros in a fixed deposit that pays a nominal annual interest rate of 4.5% compounded monthly, for seven years.

you probably want to know how much money will be in the account after 7 years.

the same formula can be used.

f = p * (1 + r) ^ n

f is the future value
p is the present value
r is the interest rate per time period.
n is the number of time periods.

the interest rate is 4.5% per year.
divide that by 12 to get the monthly interest rate of 4.5 / 12 = .375% per month.

.375% per month is equal to .00375 per month.

the number of year = 7 * 12 = 84 months.

the formula becomes f = 5000 * (1 + .00375) ^ 84 = 6847.261285.

that's the value at the end of the 7 years.

if you used an online calculator, you would have done the following:

inputs for carla problem:



output for carla problem.



inputs for ted problem.



output for ted problem.



keep in mind that the formula uses the rate, not the percent and the calculator used the percent, not the rate.

rate = percent divided by 100.
percent = rate multiplied by 100.

in the formula, the interest rate per year is 4.5/100 = .045
the interest rate per month is .045/12 = .00375

in the calculator, the interest rate per month is 4.5%/12 = .375%.

that's for the ted problem.

for the carla problem, the interest per year from the formula is .0717734625 which you multiply by 100 to get 7.17734625%.

in the calculator, the interest rate is shown as 7.177346%.

the difference between the two has to do with carrying out the result to a different number of decimal digits.




Answer by MathTherapy(10552) About Me  (Show Source):
You can put this solution on YOUR website!
Bob invests 5000 euros in a fixed deposit that pays a nominal annual interest rate of 4.5% compounded monthly, for seven years.
Carla has 7000 dollars to invest in a fixed deposit which is compounded annually. She aims to double her money after 10 years. Find the minimum annual interest rate needed for Carla to achieve her aim.
Bob: 

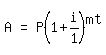
Carla: +matrix%281%2C3%2C+A%2C+%22=%22%2C+P%281+%2B+i%2F1%29%5Emt%29
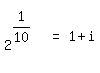
       matrix%281%2C3%2C+2%2C+%22=%22%2C+%281+%2B+i%29%5E10%29 ------ Future value of 2 (Doubling original amount)
  matrix%281%2C3%2C+matrix%282%2C1%2C+%22+%22%2C+2%5E%281%2F10%29%29%2C+%22=%22%2C+1+%2B+i%29
Interest rate, or 

These are not even close to being as COMPLEX as the other person makes them seem.

Answer by ikleyn(52803) About Me  (Show Source):
You can put this solution on YOUR website!
.

To see many similar  (and different)  solved problems on compounded interest accounts,  look into the lessons
    - Compounded interest percentage problems
    - Problems on discretely compound accounts
in this site.


Learn the subject from there - - - with full,  clear,  compact and detailed explanations and without headache.