SOLUTION: A particular fruit's weights are normally distributed, with a mean of 491 grams and a standard deviation of 9 grams. If you pick 16 fruits at random, then 3% of the time, their

Algebra ->  Finance -> SOLUTION: A particular fruit's weights are normally distributed, with a mean of 491 grams and a standard deviation of 9 grams. If you pick 16 fruits at random, then 3% of the time, their       Log On


   



Question 1184737: A particular fruit's weights are normally distributed, with a mean of 491 grams and a standard deviation of 9 grams.
If you pick 16 fruits at random, then 3% of the time, their mean weight will be greater than how many grams?
Give your answer to the nearest gram.

Answer by robertb(5830) About Me  (Show Source):
You can put this solution on YOUR website!
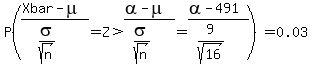
Since we are given that the weights are normally distributed with mu+=+491 and sigma+=+9,
we want to solve for alpha in the probability equation P%28%22Xbar%22+%3E+alpha%29+=+0.03.

===> .

Now P%28Z+%3E+1.881%29+=+0.03

===> %28alpha-491%29%2F%289%2Fsqrt%2816%29%29+=+1.881 ====> alpha+=+495.23225, or 495 grams to the nearest gram.

Therefore, if you pick 16 fruits at random, then 3% of the time, their mean weight will be greater than red%28495%29 grams.

Note that, even though the sample size is < 30, we know by the CLT that the sampling distribution of the mean follows almost
a normal distribution whose parameters are known from the underlying population.

Probabilities were taken from https://stattrek.com/online-calculator/normal.aspx.