SOLUTION: Suppose you have $8000 deposited in an account with interest compounded semiannually. After 8 years, the account has grown to $9300. What is the interest rate on this account? (Rou

Algebra ->  Finance -> SOLUTION: Suppose you have $8000 deposited in an account with interest compounded semiannually. After 8 years, the account has grown to $9300. What is the interest rate on this account? (Rou      Log On


   



Question 1183163: Suppose you have $8000 deposited in an account with interest compounded semiannually. After 8 years, the account has grown to $9300. What is the interest rate on this account? (Round your answer to the nearest hundredth of a percent)
Answer by ikleyn(52943) About Me  (Show Source):
You can put this solution on YOUR website!
.
Suppose you have $8000 deposited in an account with interest compounded semiannually.
After 8 years, the account has grown to $9300. What is the interest rate on this account?
(Round your answer to the nearest hundredth of a percent)
~~~~~~~~~~~~~~~


Your starting equation is

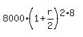
    9300 = 8000%2A%281%2Br%2F2%29%5E%282%2A8%29


and your goal is to find the unknown annual interest rate r (as decimal).


You simplify your equation

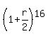
    9300%2F8000 = %281%2Br%2F2%29%5E16,

    1.1625 = %281%2Br%2F2%29%5E16.


You take logarithm base 10 from both sides

    log(1.1625) = 16*log(1+r/2)

and find

    log%28%281%2Br%2F2%29%29 = log%28%281.1625%29%29%2F16 = 0.004087.


Next, you take exponent of both sides and get

    1+%2B+r%2F2 = 10%5E0.004087 = 1.009455.


Hence,

    r/2 = 1.009455 - 1 = 0.009455;   r = 2*0.009455 = 0.01891.


Thus the annual percentage compound rate is 1.89%.    ANSWER

Solved.

----------------

To see many other similar  (and different)  solved problems,  look into the lesson
    - Problems on discretely compound accounts
in this site, and learn the subject from there.


After reading this lesson, you will tackle such problems on your own without asking for help from outside.

Also,  you have this free of charge online textbook in ALGEBRA-I in this site
    - ALGEBRA-I - YOUR ONLINE TEXTBOOK.

The referred lesson is the part of this online textbook under the topic "Logarithms".


Save the link to this online textbook together with its description

Free of charge online textbook in ALGEBRA-I
https://www.algebra.com/algebra/homework/quadratic/lessons/ALGEBRA-I-YOUR-ONLINE-TEXTBOOK.lesson

to your archive and use it when it is needed.


Happy learning (!)