SOLUTION: shelly has a 13000 home equity loan that is charging her 4.25% interest. if she make payment of 400 at the end of each month, how long will it takes her to pay off the loan?

Algebra ->  Finance -> SOLUTION: shelly has a 13000 home equity loan that is charging her 4.25% interest. if she make payment of 400 at the end of each month, how long will it takes her to pay off the loan?      Log On


   



Question 1149651: shelly has a 13000 home equity loan that is charging her 4.25% interest. if she make payment of 400 at the end of each month, how long will it takes her to pay off the loan?
Answer by greenestamps(13203) About Me  (Show Source):
You can put this solution on YOUR website!


Learn the loan formula and how to use it....

P+=+A%2A%28%281-%281%2Br%2Fn%29%5E%28-%28n%2At%29%29%29%2F%28r%2Fn%29%29

P = principal (amount of loan)
A = amount of regular payment
r = annual interest rate
n = # of payments per year
t = time (years)

Note from those definitions that r/n is the periodic interest rate, and n*t is the total number of payments.

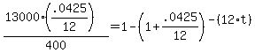
In this example.... 13000+=+400%2A%28%281-%281%2B.0425%2F12%29%5E%28-%2812%2At%29%29%29%2F%28.0425%2F12%29%29

The unknown (number of years to repay the loan, t) is in an exponent; so an algebraic solution will require the use of logarithms.

%2813000%2A%28.0425%2F12%29%29%2F400+=+1-%281%2B.0425%2F12%29%5E%28-%2812%2At%29%29

1-%2813000%2A%28.0425%2F12%29%29%2F400+=+%281%2B.0425%2F12%29%5E%28-%2812%2At%29%29

log(1-%2813000%2A%28.0425%2F12%29%29%2F400) = -12t*log(%281%2B.0425%2F12%29)

-12t = (log(1-%2813000%2A%28.0425%2F12%29%29%2F400))/log(%281%2B.0425%2F12%29)