SOLUTION: Paula is 10 years younger than Greg. In 7 years, she will be 10 years more than half as old as Greg. Find their age at present?

Algebra ->  Finance -> SOLUTION: Paula is 10 years younger than Greg. In 7 years, she will be 10 years more than half as old as Greg. Find their age at present?      Log On


   



Question 1147435: Paula is 10 years younger than Greg. In 7 years, she will be 10 years more than half as old as Greg. Find their age at present?
Found 2 solutions by josgarithmetic, ikleyn:
Answer by josgarithmetic(39633) About Me  (Show Source):
Answer by ikleyn(52946) About Me  (Show Source):
You can put this solution on YOUR website!
.

The setup


    system%28p=g%2B10%2Cp%2B7=10%2B%28g%2B7%29%2F2%29


in the post by @josgarithmetic is INCORRECT.


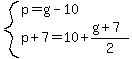
The correct setup is THIS system of two equations


    system%28p=g-10%2Cp%2B7=10%2B%28g%2B7%29%2F2%29


To solve the system, substitute my first equation to the second equation to get


    (g-10) + 7 = 10 + %28g%2B7%29%2F2.


Next, multiply both sides  by 2 and simplify, step by step


     2*(g-10) + 14 = 20 + (g+7)

     2g - 20 + 14  = 20 + g + 7

     2g - 6        = g + 27

     2g - g        = 27 + 6

      g            = 33.


Thus Greg is 33 years old.              ANSWER


Then Paula is 33-10 = 23 years old.     ANSWER