SOLUTION: For a biology lab you are looking at the growth of a bacterial colony. If your teacher started with 1 bacterium that grows at a rate of 4% every hour and by 2:15 pm when you have c
Algebra ->
Finance
-> SOLUTION: For a biology lab you are looking at the growth of a bacterial colony. If your teacher started with 1 bacterium that grows at a rate of 4% every hour and by 2:15 pm when you have c
Log On
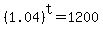
Question 1146976: For a biology lab you are looking at the growth of a bacterial colony. If your teacher started with 1 bacterium that grows at a rate of 4% every hour and by 2:15 pm when you have class there are 1200 bacteria, what time did your teacher start the experiment? Answer by greenestamps(13216) (Show Source):