SOLUTION: Jean invested a sum of money, compounded quarterly. After 3 years, her investment grew by 60%. FInd the interest rate per annum.

Algebra ->  Finance -> SOLUTION: Jean invested a sum of money, compounded quarterly. After 3 years, her investment grew by 60%. FInd the interest rate per annum.       Log On


   



Question 1127163: Jean invested a sum of money, compounded quarterly. After 3 years, her investment grew by 60%. FInd the interest rate per annum.
Answer by ikleyn(52790) About Me  (Show Source):
You can put this solution on YOUR website!
.

            If in Finance you just achieved a level of solving such problems, I can write a formal solution
            without any explanations - in hope that everything is clear to you.


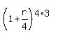
%281%2Br%2F4%29%5E%284%2A3%29 = 1.6


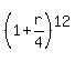
%281%2Br%2F4%29%5E12 = 1.6


1+%2B+r%2F4 = root%2812%2C1.6%29 = 1.04


r%2F4 = 1.04 - 1 = 0.04


r = 4*0.04 = 0.16.


Answer.  Interest rate per annum is  0.16,  or  16%.