SOLUTION: You can afford a $250 per month car payment. You've found a 6 year loan at 6% annual interest rate, compounded monthly. How big of a loan amount can you afford? (Enter numeric answ

Algebra ->  Finance -> SOLUTION: You can afford a $250 per month car payment. You've found a 6 year loan at 6% annual interest rate, compounded monthly. How big of a loan amount can you afford? (Enter numeric answ      Log On


   



Question 1121991: You can afford a $250 per month car payment. You've found a 6 year loan at 6% annual interest rate, compounded monthly. How big of a loan amount can you afford? (Enter numeric answers to 2 decimal places.)
Answer by ankor@dixie-net.com(22740) About Me  (Show Source):
You can put this solution on YOUR website!
You can afford a $250 per month car payment. You've found a 6 year loan at 6% annual interest rate, compounded monthly. How big of a loan amount can you afford?
:
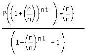
The monthly payment formula: mp = : where:
mp = monthly payment (250)
P = amt of loan
r = interest in decimal form (.06)
n = periods per year (12)
t = time in years (6)
:
= 250
:
%28P%28%281.005%29%5E72%29%28.005%29%29%2F%28%281.005%29%5E72-1%29%29 = 250
:
P*%281.432044+%2A+.005%29%2F%281.432044+-1%29 = 250
:
P*.00716%2F.432044 = 250
.016573P = 250
P = 250%2F.016573
P = $15,084.78
:
:
I checked this answer using the finance feature on the ti83, they got $15,084.88
a 10 cent difference that I am not going to look for. CK