SOLUTION: Find the point on the y-axis that is equidistant from (5,1) and (-3,-1)

Algebra ->  Finance -> SOLUTION: Find the point on the y-axis that is equidistant from (5,1) and (-3,-1)      Log On


   



Question 1121563: Find the point on the y-axis that is equidistant from (5,1) and (-3,-1)
Answer by josgarithmetic(39618) About Me  (Show Source):
You can put this solution on YOUR website!
Point (0,y) equidistant from (5,1) and (-3,-1)



sqrt%2825%2B%28y-1%29%5E2%29=sqrt%289%2B%28y%2B1%29%5E2%29

25%2B%28y-1%29%5E2=9%2B%28y%2B1%29%5E2

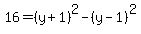
16=%28y%2B1%29%5E2-%28y-1%29%5E2

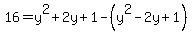
16=y%5E2%2B2y%2B1-%28y%5E2-2y%2B1%29

16=y%5E2%2B2y%2B1-y%5E2%2B2y-1

16=4y

y=4

The point is (0,4).