SOLUTION: Find the angle (θ) between the vectors. Round your answer to the nearest tenth. u = 2i - 3j v = i - 2j θ = ________ degrees

Algebra ->  Finance -> SOLUTION: Find the angle (θ) between the vectors. Round your answer to the nearest tenth. u = 2i - 3j v = i - 2j θ = ________ degrees      Log On


   



Question 1110234: Find the angle (θ) between the vectors.
Round your answer to the nearest tenth.
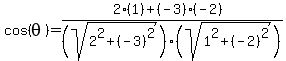
u = 2i - 3j
v = i - 2j
θ = ________ degrees

Answer by Fombitz(32388) About Me  (Show Source):
You can put this solution on YOUR website!
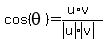
Use the definition of dot product,
u%2Av=abs%28u%29abs%28v%29cos%28theta%29
cos%28theta%29=%28u%2Av%29%2F%28abs%28u%29%2Aabs%28v%29%29

Work that out for the answer.