SOLUTION: Find the sum that Rs. 4096 will amount to in 18 month at 12.5 per annum, the interest being compounded half yearly.

Algebra ->  Finance -> SOLUTION: Find the sum that Rs. 4096 will amount to in 18 month at 12.5 per annum, the interest being compounded half yearly.      Log On


   



Question 1100261: Find the sum that Rs. 4096 will amount to in 18 month at 12.5 per annum, the interest being compounded half yearly.
Answer by Alan3354(69443) About Me  (Show Source):
You can put this solution on YOUR website!
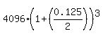
Find the sum that Rs. 4096 will amount to in 18 month at 12.5 per annum, the interest being compounded half yearly.
------------
That's 3 compounding periods.
---
--> 4096%2A%281+%2B+%280.125%2F2%29%29%5E3