SOLUTION: Use the Pythagorean theorem to find the lengths of the sides of the right triangle. a:2m+4 b:3m c:5m-Hypotenuse
Algebra
->
Finance
-> SOLUTION: Use the Pythagorean theorem to find the lengths of the sides of the right triangle. a:2m+4 b:3m c:5m-Hypotenuse
Log On
Algebra in Finance
Algebra
Solvers
Solvers
Lessons
Lessons
Answers archive
Answers
Click here to see ALL problems on Finance
Question 1086771
:
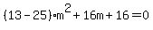
Use the Pythagorean theorem to find the lengths of the sides of the right triangle.
a:2m+4
b:3m
c:5m-Hypotenuse
Answer by
josgarithmetic(39633)
(
Show Source
):
You can
put this solution on YOUR website!