SOLUTION: Derivative of 2^x^2=..........

Algebra ->  Finance -> SOLUTION: Derivative of 2^x^2=..........      Log On


   



Question 1082781: Derivative of 2^x^2=..........
Answer by Edwin McCravy(20060) About Me  (Show Source):
You can put this solution on YOUR website!

There is no way to tell whether 2^x^2 means matrix%282%2C1%2C%22%22%2C2%5E%28%28x%5E2%29%29%29 or %282%5Ex%29%5E2.

That's why it is necessary to use parentheses when typing algebra 
containing exponents or denominators all on one line.

If you mean the derivative of 

matrix%282%2C1%2C%22%22%2Cy+=2%5E%28%28x%5E2%29%29%29

We take natural logarithms of both sides

matrix%282%2C1%2C%22%22%2Cln%28y%29+=ln%282%5E%28%28x%5E2%29%29%29%29

Then use a rule of logarithms:

ln%28y%29+=x%5E2%2Aln%282%29

[Note: ln(2) is just a constant.]

%22y%27%22%2Fy=2x%2Aln%282%29

%22y%27%22=y%2A2x%2Aln%282%29

Replace y by matrix%282%2C1%2C%22%22%2C2%5E%28%28x%5E2%29%29%29

matrix%282%2C1%2C%22%22%2C%22y%27%22=2%5E%28%28x%5E2%29%29%2A2x%2Aln%282%29%29

matrix%282%2C1%2C%22%22%2C%22y%27%22=2%5E%28%28x%5E2%29%29%2A2%5E1%2Ax%2Aln%282%29%29

Add exponents of 2

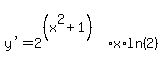
matrix%282%2C1%2C%22%22%2C%22y%27%22=2%5E%28%28x%5E2%2B1%29%29%2Ax%2Aln%282%29%29


--------------------------------------

If you mean the derivative of 

y=%282%5Ex%29%5E2

Multiply exponents:

y=2%5E%282x%29

We take natural logarithms of both sides

ln%28y%29+=ln%282%5E%282x%29%29

Use a rule of logarithms:

ln%28y%29+=2x%2Aln%282%29

[Note: ln(2) is just a constant.  

%22y%27%22%2Fy=2%2Aln%282%29

%22y%27%22=y%2A2%2Aln%282%29

Replace y by 2%5E%282x%29

%22y%27%22=2%5E%282x%29%2A2%2Aln%282%29

%22y%27%22=2%5E%282x%29%2A2%5E1%2Aln%282%29

Add exponents of 2

%22y%27%22=2%5E%282x%2B1%29%2Aln%282%29

Edwin