SOLUTION: Can you help me with: (x+6)squared + (y+6) squared = 400 where y= 36/x

Algebra ->  Finance -> SOLUTION: Can you help me with: (x+6)squared + (y+6) squared = 400 where y= 36/x      Log On


   



Question 1074438: Can you help me with:
(x+6)squared + (y+6) squared = 400 where y= 36/x

Answer by josgarithmetic(39633) About Me  (Show Source):
You can put this solution on YOUR website!
%28x%2B6%29%5E2%2B%2836%2Fx%2B6%29%5E2=400
%28x%2B6%29%5E2%2B%2836%2Fx%2B6x%2Fx%29%5E2=400
x%5E2%28x%2B6%29%5E2%2B%2836%2B6x%29%5E2=400x%5E2
.
.
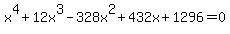
x%5E4%2B12x%5E3-328x%5E2%2B432x%2B1296=0


You did not say how far you want to take this. (just to simplified equation?)