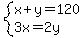
SOLUTION: Divide 120 into 2 parts so that thrice the smaller one is equal to twice the larger one.
Algebra
->
Finance
-> SOLUTION: Divide 120 into 2 parts so that thrice the smaller one is equal to twice the larger one.
Log On
Algebra in Finance
Algebra
Solvers
Solvers
Lessons
Lessons
Answers archive
Answers
Click here to see ALL problems on Finance
Question 1042007
:
Divide 120 into 2 parts so that thrice the smaller one is equal to twice the larger one.
Answer by
josgarithmetic(39623)
(
Show Source
):
You can
put this solution on YOUR website!
-
-