SOLUTION: Find sin 2 theta, cos 2 theta, and tan 2 theta for each set of conditions. cos theta = -5/13 and pi/2 < theta < pi. Thank you.

Algebra ->  Finance -> SOLUTION: Find sin 2 theta, cos 2 theta, and tan 2 theta for each set of conditions. cos theta = -5/13 and pi/2 < theta < pi. Thank you.      Log On


   



Question 1036142: Find sin 2 theta, cos 2 theta, and tan 2 theta for each set of conditions.
cos theta = -5/13 and pi/2 < theta < pi.
Thank you.

Answer by ikleyn(52946) About Me  (Show Source):
You can put this solution on YOUR website!
.
Find sin 2 theta, cos 2 theta, and tan 2 theta for each set of conditions.
cos theta = -5/13 and pi/2 < theta < pi.
~~~~~~~~~~~~~~~~~~~~~~~~~~~~~~~~~~~~~~~~~~~~~

Since  cos%28theta%29 = -5%2F13  and  pi%2F2 < theta < pi, 

sin%28theta%29 = sqrt%281+-+%28-5%2F13%29%5E2%29 = sqrt%281+-+25%2F169%29 = sqrt%28%28169-25%29%2F169%29 = sqrt%28144%2F169%29 = 12%2F13.

The sign "+" was chosen at the square root because the sine is positive in the second quadrant.


Next,

sin%282%2Atheta%29%29 = 2%2Asin%28theta%29%2Acos%28theta%29 = 2%2A%2812%2F13%29%2A%28-5%2F13%29%29 = -120%2F169%29,


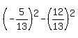
cos%282%2Atheta%29%29 = cos%5E2%28theta%29+-+sin%5E2%28theta%29 = %28-5%2F13%29%5E2+-+%2812%2F13%29%5E2 = 25%2F169+-+144%2F169 = -119%2F169.


By the way, the signs of the  sin%282theta%29  and  cos%282theta%29  say  that 2theta  lies in the quadrant 3.


Now,  tan%282%2Atheta%29 = sin%282%2Atheta%29%2Fcos%282%2Atheta%29 = %28%28-120%2F169%29%29%2F%28%28-119%2F169%29%29 = 120%2F119.

Solved.