SOLUTION: For what value of the constants a and b such that the following limit exists:
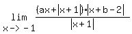
lim
x→−1
(ax + |x + 1|)|x + b − 2|/
|x + 1|
.
Algebra ->
Finance
-> SOLUTION: For what value of the constants a and b such that the following limit exists:
lim
x→−1
(ax + |x + 1|)|x + b − 2|/
|x + 1|
.
Log On
Question 1020220: For what value of the constants a and b such that the following limit exists:
lim
x→−1
(ax + |x + 1|)|x + b − 2|/
|x + 1|
. Answer by robertb(5830) (Show Source):
You can put this solution on YOUR website!
Since the denominator approaches 0 as x goes to 0, the numerator also needs to go to zero.
If a = 0, then the numerator becomes
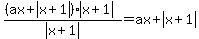
==> the quotient becomes after division by , hence any value of b will render the limit existent.
If , then the numerator approaches as x approaches -1, and the only possibility is for b = 3. The quotient then becomes after division, and the limit of this expression exists as x -> -1 for whatever value of a.
Thus {a, b R|a = 0 and b is any real number} U { a,b R| b=3 and a is any real number} would render the limit above existent.