Question 1009579: h(t)=-16t^2+vt+h
you launch a firework from the ground with velocity 70ft per second calculate the maximum height if it is set to explode 3 seconds after launch.
you launch another firework from the ground set to explode at 130ft with initial velocity 90ft per second how long after setting off the firework should the delay be set.
Answer by KMST(5328) (Show Source):
You can put this solution on YOUR website! 
represents the height (in feet) after seconds
of an object launched form an initial height feet,
with an initial upwards velocity ft per second.
Since you are launching those fireworks "from the ground",
for both fireworks.
For the first firework, , so its height seconds after launch is
.
That is a quadratic function with a negative coefficient for the independent variable .
We know that a quadratic function with 
has a maximum for ,
so has a maximum for
.
That means the first firework will reach its maximum height seconds after launch.
At that point its maximum height in feet will be
.
After that, it will start to come down,
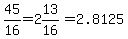
and will explode at seconds, when its height in feet will be
.
For the second firework, , so its height in feet seconds after launch is
.
If it ever reaches a height of ft,
that would happen at seconds after its launch, with
.
Unfortunately, that second firework never reaches ft.
The equation <--> has no solution.
The second firework will reach its maximum height at
seconds after its launch.
At that point its maximum height in feet will be
.
After that, it will start to come down.
At seconds after its launch, the second firework's height in feet will be
.
Ideally, you would design the fireworks so that they would explode at their maximum height.
For the first firework, that would be seconds after its launch,
when it would be at a height of feet.
For the second firework, that would be seconds after its launch,
when it would be at a height of feet.
Maybe you cannot time the explosions that precisely.
For the second firework, you could design it to explode about seconds after launch.
With a second delay between launch and explosion,
it would explode at feet.
That is not feet, or even the maximum height of feet,
but it is very close to the maximum height.
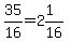
For the first firework, you could design it to explode about seconds after launch.
With a second delay between launch and explosion, it would explode at
feet.
That is not the maximum height of feet,
but it is very close to the maximum height.
|
|
|