SOLUTION: Write the logarithmic as a sum or difference of logarithmics. log(5c^4+8c)+logc^-1 1/2[10ln(m-4)+ln m-ln m^2] Please I really need this as soon as possible. Thank you!!

Algebra ->  Finance -> SOLUTION: Write the logarithmic as a sum or difference of logarithmics. log(5c^4+8c)+logc^-1 1/2[10ln(m-4)+ln m-ln m^2] Please I really need this as soon as possible. Thank you!!      Log On


   



Question 1009348: Write the logarithmic as a sum or difference of logarithmics.
log(5c^4+8c)+logc^-1

1/2[10ln(m-4)+ln m-ln m^2]

Please I really need this as soon as possible. Thank you!!

Answer by MathLover1(20850) About Me  (Show Source):
You can put this solution on YOUR website!
it is already written as sum or difference; you probably need to write it as a single logarithm

log%28%285c%5E4%2B8c%29%29%2Blog%28%28c%5E-1%29%29
log%28c%285c%5E3%2B8%29%29%2Blog%28%281%2Fc%29%29
log%28c%285c%5E3%2B8%29%281%2Fc%29%29
log%28cross%28c%29%285c%5E3%2B8%29%281%2Fcross%28c%29%29%29
log%28%285c%5E3%2B8%29%29


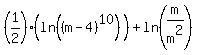
%281%2F2%29%2810%2Aln%28%28m-4%29%29%29%2Bln+%28%28m%29%29-ln+%28m%5E2%29

%281%2F2%29%28ln%28%28m-4%29%5E10%29%29%2Bln+%28m%2Fm%5E2%29
ln%28%28%28m-4%29%5E10%29%5E%281%2F2%29%29%29%2Bln+%28cross%28m%291%2Fm%5Ecross%282%29%29
ln%28%28sqrt%28%28m-4%29%5E5%29%5E2%29%29%2Bln+%281%2Fm%29
ln%28%28m-4%29%5E5%29%29%2Bln+%28%281%2Fm%29%29
ln%28%28m-4%29%5E5%281%2Fm%29%29
ln%28%28m-4%29%5E5%2Fm%29%29