SOLUTION: how is {{{ -ln(1/13)/(2) }}} simplified to {{{ ln(13)/2 }}} how was the 1 able to dissapear and simply leave ln(13)? Thanks

Algebra ->  Finance -> SOLUTION: how is {{{ -ln(1/13)/(2) }}} simplified to {{{ ln(13)/2 }}} how was the 1 able to dissapear and simply leave ln(13)? Thanks      Log On


   



Question 1005740: how is +-ln%281%2F13%29%2F%282%29+ simplified to +ln%2813%29%2F2+ how was the 1 able to dissapear and simply leave ln(13)?
Thanks

Found 2 solutions by Alan3354, MathLover1:
Answer by Alan3354(69443) About Me  (Show Source):
You can put this solution on YOUR website!
how is +-ln%281%2F13%29%2F%282%29+ simplified to +ln%2813%29%2F2+ how was the 1 able to dissapear and simply leave ln(13)?
------------
ln%281%2F13%29+=+ln%2813%5E%28-1%29%29+=+%28-1%29%2Aln%2813%29

Answer by MathLover1(20850) About Me  (Show Source):
You can put this solution on YOUR website!
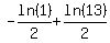
+-ln%281%2F13%29%2F%282%29+ simplified to +ln%2813%29%2F2+:

+-ln%281%2F13%29%2F2+

+-%28%28ln%281%29-ln%2813%29%29%29%2F2+

+-ln%281%29%2F2%2Bln%2813%29%2F2+........since ln%281%29=0, we have
+-0%2F2%2Bln%2813%29%2F2+
+ln%2813%29%2F2+