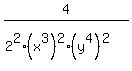
SOLUTION: Simplify expression 4(2x^3y^4)^-2
Algebra
->
Expressions-with-variables
-> SOLUTION: Simplify expression 4(2x^3y^4)^-2
Log On
Algebra: Expressions involving variables, substitution
Section
Solvers
Solvers
Lessons
Lessons
Answers archive
Answers
Click here to see ALL problems on Expressions-with-variables
Question 992357
:
Simplify expression 4(2x^3y^4)^-2
Answer by
MathLover1(20850)
(
Show Source
):
You can
put this solution on YOUR website!