SOLUTION: Solve x-1/x+2=3/x Please help me with this, I have the answer I just don't know how to do it. The answer is 2 plus or minus sqrt of 10

Algebra ->  Expressions-with-variables -> SOLUTION: Solve x-1/x+2=3/x Please help me with this, I have the answer I just don't know how to do it. The answer is 2 plus or minus sqrt of 10      Log On


   



Question 981684: Solve x-1/x+2=3/x
Please help me with this, I have the answer I just don't know how to do it.
The answer is 2 plus or minus sqrt of 10

Found 2 solutions by josgarithmetic, MathTherapy:
Answer by josgarithmetic(39618) About Me  (Show Source):
You can put this solution on YOUR website!
Exactly as you give, x-1/x+2=3/x
x-1%2Fx%2B2=3%2Fx

x%28x-1%2Fx%2B2%29=x%283%2Fx%29-----basic fraction skill

x%5E2-1%2B2x=3-------basic fraction skill

x%5E2%2B2x-1-3=0

x%5E2%2B2x-4=0, not ordinarily factorable, so use formula for general solution.

x=%28-2%2B-+sqrt%284-4%2A%28-4%29%29%29%2F2

x=%28-2%2B-+sqrt%2820%29%29%2F2

x=%28-2%2B-+2sqrt%285%29%29%2F2

highlight%28highlight%28x=-1%2B-+sqrt%285%29%29%29
This must the the answer. Review my steps carefully, in case you find any mistake. Also, you can try checking this result for x in the original equation to see if it works.

---
You gave an equation different from what you really have. (Reportedly not)

Answer by MathTherapy(10552) About Me  (Show Source):
You can put this solution on YOUR website!
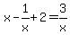
Solve x-1/x+2=3/x
Please help me with this, I have the answer I just don't know how to do it.
The answer is 2 plus or minus sqrt of 10
Why is it so difficult to use parentheses when submitting math problems?
Your equation appears to be: %28x+-+1%29%2F%28x+%2B+2%29+=+3%2Fx. From this, you will obtain the quadratic equation: x%5E2+-+4x+-+6+=+0.
Solve this using the quadratic equation formula or by completing the square to get your roots/zeroes/x-intercept values, which should be: highlight_green%28x+=+2+%2B-sqrt%2810%29%29