SOLUTION: Please help me solve this Simplify 8x^2 y^2 /x^-2 y * (4xy^2)-1/x^2 y
Algebra
->
Expressions-with-variables
-> SOLUTION: Please help me solve this Simplify 8x^2 y^2 /x^-2 y * (4xy^2)-1/x^2 y
Log On
Algebra: Expressions involving variables, substitution
Section
Solvers
Solvers
Lessons
Lessons
Answers archive
Answers
Click here to see ALL problems on Expressions-with-variables
Question 981130
:
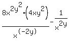
Please help me solve this
Simplify 8x^2 y^2 /x^-2 y * (4xy^2)-1/x^2 y
Answer by
Alan3354(69443)
(
Show Source
):
You can
put this solution on YOUR website!
I removed some spaces.
In the 1st fraction, multiply NUM and DEN by x^2
I helped. What to do now?