SOLUTION: x+3/2=x/5

Algebra ->  Expressions-with-variables -> SOLUTION: x+3/2=x/5      Log On


   



Question 980322: x+3/2=x/5
Answer by macston(5194) About Me  (Show Source):
You can put this solution on YOUR website!
.
The problem is ambiguous.
.
For %28x%2B3%29%2F2=x%2F5:
%28x%2B3%29%2F2=x%2F5 Multiply each side by 5.
%285x%2B15%29%2F2=x Multiply each side by 2.
5x%2B15=2x Subtract 2x from each side.
3x%2B15=0Subtract 15 from each side.
3x=-15 Divide each side by 3.
x=-5
.
CHECK:
%28x%2B3%29%2F2=x%2F5
%28-5%2B3%29%2F2=-5%2F5
-2%2F2=-5%2F5
-1=-1
.
.
For x%2B3%2F2=x%2F5:
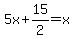
x%2B3%2F2=x%2F5 Multiply each side by 5.
5x%2B15%2F2=x Subtract x from each side.
4x%2B15%2F2=0 Subtract 15/2 from each side.
4x=-15%2F2 Divide each side by 4.
x=-15%2F8
.
CHECK:
x%2B3%2F2=x%2F5
-15%2F8%2B3%2F2=%28-15%2F8%29%2F5
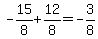
-15%2F8%2B12%2F8=-3%2F8
-3%2F8=-3%2F8