SOLUTION: Hi, I'm struggling with this question and would really appreciate some help; In the partial fraction solution, (x-3)/x(x^2+3) = a/x + (bx + c) /(x^2+3) What are the valu

Algebra ->  Expressions-with-variables -> SOLUTION: Hi, I'm struggling with this question and would really appreciate some help; In the partial fraction solution, (x-3)/x(x^2+3) = a/x + (bx + c) /(x^2+3) What are the valu      Log On


   



Question 951325: Hi, I'm struggling with this question and would really appreciate some help;
In the partial fraction solution,
(x-3)/x(x^2+3) = a/x + (bx + c) /(x^2+3)
What are the values of a, b and c?
I'm multiplying through to compare coefficients but end up an x^2 term, or splitting the original fraction treating it as having distinct linear factors and then getting an x cubed term
Thanks for your help,
Rob

Answer by josgarithmetic(39618) About Me  (Show Source):
You can put this solution on YOUR website!
a%2Fx+%2B+%28bx+%2B+c%29+%2F%28x%5E2%2B3%29



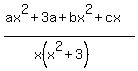
%28a%28x%5E2%2B3%29%2Bx%28bx%2Bc%29%29%2F%28x%28x%5E2%2B3%29%29

%28ax%5E2%2B3a%2Bbx%5E2%2Bcx%29%2F%28x%28x%5E2%2B3%29%29

Yes, a squared term should occur.

%283a%2Bcx%2B%28a%2Bb%29x%5E2%29%2F%28x%28x%5E2%2B3%29%29


Now comparing the numerator expressions
x-3=3a%2Bcx%2B%28a%2Bb%29x%5E2
x-3=%28a%2Bb%29x%5E2%2Bcx%2B3a
Equations for the coefficients should give a system,
system%28a%2Bb=0%2C1=c%2C-3=3a%29
-
The last equation in the system means highlight%28a=-1%29; therefore using the first in the system, highlight%28b=1%29. The other equation is simply highlight%28c=1%29.


The decomposed fraction should be highlight%28-1%2Fx%2B%28x%2B1%29%2F%28x%5E2%2B3%29%29.