SOLUTION: an athlete runs at 9 mph and then at 12 mph, covering 10 miles in one hour. how long does the athlete run at each speed? using the substitution method.

Algebra ->  Expressions-with-variables -> SOLUTION: an athlete runs at 9 mph and then at 12 mph, covering 10 miles in one hour. how long does the athlete run at each speed? using the substitution method.      Log On


   



Question 949251: an athlete runs at 9 mph and then at 12 mph, covering 10 miles in one hour. how long does the athlete run at each speed? using the substitution method.
Answer by Fombitz(32388) About Me  (Show Source):
You can put this solution on YOUR website!
Rate x Time= Distance
9%2At%5B1%5D%2B12%2At%5B2%5D=10
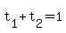
t%5B1%5D%2Bt%5B2%5D=1
So then,
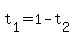
t%5B1%5D=1-t%5B2%5D
Substituting into the first equation,
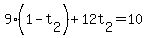
9%281-t%5B2%5D%29%2B12t%5B2%5D=10
9-9t%5B2%5D%2B12t%5B2%5D=10
3t%5B2%5D=1
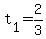
t%5B2%5D=1%2F3
So then,
t%5B1%5D%2B1%2F3=1
t%5B1%5D=2%2F3
2/3 hr(40 min) at 9 mph and 1/3 hr(20 min) at 12 mph