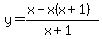
SOLUTION: Solve for y: x = (x+1)(x+y)
Algebra
->
Expressions-with-variables
-> SOLUTION: Solve for y: x = (x+1)(x+y)
Log On
Algebra: Expressions involving variables, substitution
Section
Solvers
Solvers
Lessons
Lessons
Answers archive
Answers
Click here to see ALL problems on Expressions-with-variables
Question 936938
:
Solve for y:
x = (x+1)(x+y)
Answer by
MathLover1(20850)
(
Show Source
):
You can
put this solution on YOUR website!
Solve for
: