SOLUTION: Hi, I need help on my homework. Would you please help me.
Triangle ABC is similar to Triangle DEF. The following ratios of corresponding sides are equal.
sides of first tria
Algebra ->
Expressions-with-variables
-> SOLUTION: Hi, I need help on my homework. Would you please help me.
Triangle ABC is similar to Triangle DEF. The following ratios of corresponding sides are equal.
sides of first tria
Log On
Question 921392: Hi, I need help on my homework. Would you please help me.
Triangle ABC is similar to Triangle DEF. The following ratios of corresponding sides are equal.
sides of first triangle ABC
AB=8
BC=16
AC=4x+5
sides of 2nd triangle DEF
DE=12
EF=24
DF=4x+11
Ratios of corresponding sizes:
8/12=16/24=4x+5/4x+11
Find:
X=
SIDE AC=
SIDE DF=
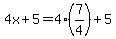
MY TEACHER SAID THAT THE X=7/4, SIDE AC=12 SIDE DF=18
WOULD YOU PLEASE SHOW ME THE STEPS ON HOW HE GOT THESE ANSWERS. THANK YOU. Answer by josmiceli(19441) (Show Source):
You can put this solution on YOUR website! Since the triangles are similar, I can say:
BC / AC = EF / DF
These are corresponding sides in each triangle
Divide both sides by
Multiply both sides by
-------------
and
---------------------
Hope this helps