SOLUTION: 2m-nx=x+4 for x 2m-nx/-n=x+4/-n 2m-x=x+4/-n 2m/2-x=x+4/-n/2 m-1x=x+4/-n/2

Algebra ->  Expressions-with-variables -> SOLUTION: 2m-nx=x+4 for x 2m-nx/-n=x+4/-n 2m-x=x+4/-n 2m/2-x=x+4/-n/2 m-1x=x+4/-n/2       Log On


   



Question 910990: 2m-nx=x+4 for x

2m-nx/-n=x+4/-n
2m-x=x+4/-n
2m/2-x=x+4/-n/2
m-1x=x+4/-n/2

Answer by MathLover1(20850) About Me  (Show Source):
You can put this solution on YOUR website!
+2m-nx=x%2B4 ...rearrange terms, isolate x on one side

+2m-nx%2Bnx=x%2Bnx%2B4

+2m-cross%28nx%29%2Bcross%28nx%29=x%2Bnx%2B4

+2m=x%2Bnx%2B4

+2m-4=x%2Bnx%2B4-4

+2m-4=x%2Bnx%2Bcross%284%29-cross%284%29

+2m-4=x%2Bnx ...factor out x

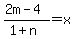
+2m-4=x%281%2Bn%29

+%282m-4%29%2F%281%2Bn%29=x+