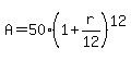
SOLUTION: Solve for r in terms of A. A=50(1+r/12)^12

Algebra ->  Expressions-with-variables -> SOLUTION: Solve for r in terms of A. A=50(1+r/12)^12      Log On


   



Question 902938: Solve for r in terms of A. A=50(1+r/12)^12
Answer by josgarithmetic(39620) About Me  (Show Source):
You can put this solution on YOUR website!
Comfort with logarithms needed.

A=50%281%2Br%2F12%29%5E12
log%28%28A%29%29=log%28%2850%29%29%2Blog%28%28%281%2Br%2F12%29%5E12%29%29
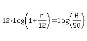
log%28%28A%29%29=log%28%2850%29%29%2B12%2Alog%28%281%2Br%2F12%29%29
12%2Alog%28%281%2Br%2F12%29%29=log%28%28A%2F50%29%29
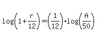
log%28%281%2Br%2F12%29%29=%281%2F12%29log%28%28A%2F50%29%29

Decide what base, b, you want.
(This is not rendering neatly, so it might fail to appear meaningful/readable):

b%5E%28%281%2F12%29log%28%28A%2F50%29%29%29=r%2F12%2B1
r%2F12=-1%2Bb%5E%28%281%2F12%29log%28%28A%2F50%29%29%29
highlight%28r=-12%2B12%2Ab%5E%28%281%2F12%29log%28%28A%2F50%29%29%29%29