SOLUTION: can you help with this equation i need to know how to make y the subject of the formula 2a(y-b)=4x thanks
Algebra
->
Expressions-with-variables
-> SOLUTION: can you help with this equation i need to know how to make y the subject of the formula 2a(y-b)=4x thanks
Log On
Algebra: Expressions involving variables, substitution
Section
Solvers
Solvers
Lessons
Lessons
Answers archive
Answers
Click here to see ALL problems on Expressions-with-variables
Question 896621
:
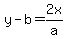
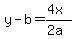
can you help with this equation i need to know how to make y the subject of the formula
2a(y-b)=4x
thanks
Answer by
josgarithmetic(39623)
(
Show Source
):
You can
put this solution on YOUR website!
Same idea as for the other one you asked. Solve for y.