SOLUTION: My question is on rational expressions. I can't figure out the steps to take to simplify this expression. (a^(-4)-b^(-4))/(a^(-2)-b^(-2))

Algebra ->  Expressions-with-variables -> SOLUTION: My question is on rational expressions. I can't figure out the steps to take to simplify this expression. (a^(-4)-b^(-4))/(a^(-2)-b^(-2))      Log On


   



Question 893815: My question is on rational expressions. I can't figure out the steps to take to simplify this expression. (a^(-4)-b^(-4))/(a^(-2)-b^(-2))
Answer by josmiceli(19441) About Me  (Show Source):
You can put this solution on YOUR website!
+%28a%5E%28-4%29-b%5E%28-4%29%29%2F%28a%5E%28-2%29-b%5E%28-2%29%29+
Make the substitutions:
+a%5E%28-2%29+=+1%2Fa%5E2+
+a%5E%28-4%29+=+1%2Fa%5E4+
and
+b%5E%28-2%29+=+1%2Fb%5E2+
+b%5E%28-4%29+=+1%2Fb%5E4+
---------------------
+%28+1%2Fa%5E4+-+1%2Fb%5E4+%29+%2F+%28+1%2Fa%5E2+-+1%2Fb%5E2+%29+
---------------------
Now multiply top and bottom by +a%5E4b%5E4+

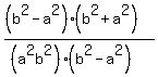
+%28+b%5E4+-+a%5E4+%29+%2F+%28+a%5E2b%5E4+-+a%5E4b%5E2+%29+

+%28+b%5E2+%2B+a%5E2+%29+%2F+%28+a%5E2b%5E2+%29+
++b%5E2+%2F+%28+a%5E2b%5E2+%29+%2B+a%5E2+%2F+%28+a%5E2b%5E2+%29+
+1%2Fa%5E2+%2B+1%2Fb%5E2+
or,
+a%5E%28-2%29+%2B+b%5E%28-2%29+
-----------------------
You can do a quick check by plugging
numbers into original and final answer, like
+a+=+3+
+b+=+5+
and use calculator
Hope this helps