SOLUTION: Hello! I am needing some help... this is my problem I have to do... we have to simplify it. You don't have to do this problem... I just need to see how to get started or need to se

Algebra ->  Expressions-with-variables -> SOLUTION: Hello! I am needing some help... this is my problem I have to do... we have to simplify it. You don't have to do this problem... I just need to see how to get started or need to se      Log On


   



Question 879212: Hello! I am needing some help... this is my problem I have to do... we have to simplify it. You don't have to do this problem... I just need to see how to get started or need to see a video of it. May you help me in some way! Thanks!
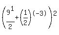
Simplify:
%289%5E1%2F2+%2B+%281%2F2%29%5E-3%29%5E2

Answer by ewatrrr(24785) About Me  (Show Source):