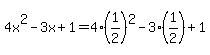
SOLUTION: If x = 1/2, what is the value of the expression 4x^2 - 3x + 1
Algebra
->
Expressions-with-variables
-> SOLUTION: If x = 1/2, what is the value of the expression 4x^2 - 3x + 1
Log On
Algebra: Expressions involving variables, substitution
Section
Solvers
Solvers
Lessons
Lessons
Answers archive
Answers
Click here to see ALL problems on Expressions-with-variables
Question 868185
:
If x = 1/2, what is the value of the expression 4x^2 - 3x + 1
Answer by
Fombitz(32388)
(
Show Source
):
You can
put this solution on YOUR website!