SOLUTION: HELLO.....I am asked to solve 2(x+1)exponent 2/3 + 3(x+1)exponent 1/3=0 by u- substitution. Sorry I did not know how to type exponents up after the parenthesis. I tried 2u squared

Algebra ->  Expressions-with-variables -> SOLUTION: HELLO.....I am asked to solve 2(x+1)exponent 2/3 + 3(x+1)exponent 1/3=0 by u- substitution. Sorry I did not know how to type exponents up after the parenthesis. I tried 2u squared      Log On


   



Question 867896: HELLO.....I am asked to solve 2(x+1)exponent 2/3 + 3(x+1)exponent 1/3=0 by u- substitution. Sorry I did not know how to type exponents up after the parenthesis. I tried 2u squared +3u +1=0. Came up with (2u+1)(u+1)=0 so far
Answer by Fombitz(32388) About Me  (Show Source):
You can put this solution on YOUR website!
Not sure what your "u" substitution was because
%282u%2B1%29%28u%2B1%29=2u%5E2%2B3u%2B1
but your equation is 2u%5E2%2B3u=0.
.
.
.
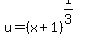
u=%28x%2B1%29%5E%281%2F3%29
u%5E2=%28x%2B1%29%5E%282%2F3%29
2u%5E2%2B3u=0
u%282u%2B3%29=0
By the zero product property, you have two "u" solutions,
u=0
%28x%2B1%29%5E%281%2F3%29=0
x%2B1=0
x=-1
and
2u%2B3=0
2u=-3
u=-3%2F2
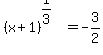
%28x%2B1%29%5E%281%2F3%29=-3%2F2
This is not a valid "x" solution.