SOLUTION: I'm not sure how to solve this simultaneous second-degree equation. xy=1/12 y+x=7xy
Algebra
->
Expressions-with-variables
-> SOLUTION: I'm not sure how to solve this simultaneous second-degree equation. xy=1/12 y+x=7xy
Log On
Algebra: Expressions involving variables, substitution
Section
Solvers
Solvers
Lessons
Lessons
Answers archive
Answers
Click here to see ALL problems on Expressions-with-variables
Question 867612
:
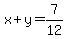
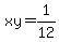
I'm not sure how to solve this simultaneous second-degree equation.
xy=1/12
y+x=7xy
Answer by
josgarithmetic(39618)
(
Show Source
):
You can
put this solution on YOUR website!
More than one way are possible.
.
Other equation,
-
OR
;
correspondingly,
OR
-
The solution points for these two equations are (1/4, 1/3) and (1/3, 1/4).